Singular Integral Equations in Electromagnetic Waves Reflection Modeling
Volume 2, Issue 3, Page No 82–87, 2017
Adv. Sci. Technol. Eng. Syst. J. 2(3), 82–87 (2017);
DOI: 10.25046/aj020312
Keywords: Reflection of electromagnetic waves, Inhomogeneous medium, Singular integral equations
The processes of reflection of three-dimensional electromagnetic waves by locally irregular media interfaces are investigated. The problem under study is mathematically reduced to the solution of a boundary value problem for the Maxwell equations in an infinite space with an irregular boundary. In order to develop a numerical algorithm, the potential theory and a special Green’s function are applied to reduce the addressed boundary problem to an equivalent system of two hypersingular integral equations. This system is solved with the use of the approximation and collocation method. Special attention is focused on calculation of the kernels of these equations. Results of simulation of the currents induced on the irregularity and reflected field patterns in the resonance frequency range are presented.
1. Introduction
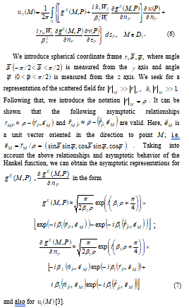
This paper is an extension of the work originally presented at the URSI Commission B International Symposium on Electromagnetic Theory (EMTS 2016) [1]. In this article we model the scattering of three-dimensional electromagnetic waves on a finite impedance section of a wavy surface separating two media. The scattering of electromagnetic waves by a wavy interface between two different media is an important problem for various applications. In this article we investigate the incidence of an arbitrary plane wave on a local inhomogeneity of the interface assuming sufficiently high conductivity of the underlying medium. The mathematical formulation of such problems reduces to that of solving a system of Maxwell equations in non-regular infinite regions. Depending on the polarization of the incident field, the boundary-value problems are reduced to independent systems of hypersingular integral equations solved by specially developed numerical algorithms utilizing a singularity isolating algorithm.
2. Mathematical model and numerical algorithm
2.1. Mathematical formulation of wave scattering problems
Let us assume that an interface between two media is situated in Cartesian coordinates x, y, z. The interface consists of two half planes that are specified by the equation and joined by an impedance cylindrical wavy section S that stretches along the axis. The entire wavy section is located in the half-space The surface S is specified by the equation y=f(x), where a is the x length of irregularity S. Let The reflecting surface does not depend on z coordinate. Denote by the region over interface where the 3D incident electromagnetic field propagates. This region is characterized by permittivity , permeability , and the wave number , where is the circular frequency (Figure 1). The time dependence is .

a is incident on the surface in region . Here, is the angle between axis z and the direction of the incident wave propagation. When , we obtain a plane reflection two-dimensional problem. If , we have the case of the normal incidence in the plane problem.
In region we seek for a solution to the homogeneous system of Maxwell equations
be reduced to solving in region of the 2D homogeneous Helmholtz wave equation![]()
with appropriate boundary conditions on and S.
2.2. Reduction of the boundary problem for Helmholtz equations to the system of singular equations in case of E-polarization
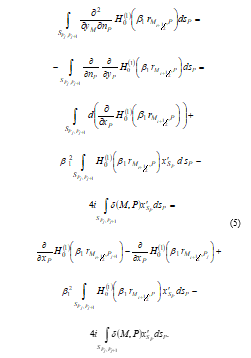
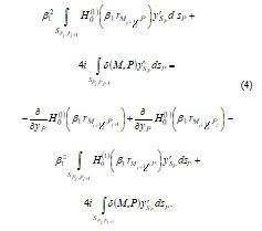
In order to obtain a system of hypersingular integral equations equivalent to the boundary value problem for Helmholtz equation, we introduce Green’s function , satisfying in region the inhomogeneous Helmholtz equation
where in the case of the H- polarization we can obtain a system of two integral equations for unknown functions and on finite section S.
2.3. The numerical algorithm for the solution of singular integral equations for the E-polarization
The systems of integral equations are singular and can be solved through reducing them to the complex system of linear algebraic equation by means of the collocation and approximation method.
The points and can coincide, hence, there is an integral of the Dirac delta-function.
Similarly, let us consider the component in the first term :

we obtain the final formula for the calculation of the second normal derivative of the Green function [2].
2.4. Calculation of the reflected field pattern for the E-polarization
Using the solution to the system of integral equations (1)-( 2) and taking into account the boundary conditions on the section , we can obtain the integral representation for the field :
the pattern of scattering field . Knowing the solution of the system of singular integral equations (1)-(2), we calculate the currents induced on the irregular surface and far-field pattern for the scattered field in the far zone [4].
3. Numerical results
The induced currents and reflected electromagnetic field patterns are calculated for E- polarization, , contour specified in the plane by the equation , , .
4. Conclusion
- The exact model of plane electromagnetic wave incident on inhomogeneous conductive surface is investigated.
- The problem is reduced to the system of singular integral equations. The analytic solution is provided for a singularity in the kernels of integral equations.
- The numerical algorithm for calculation of scattering characteristics of incident electromagnetic field was developed and calculation examples were presented.
- A. S. Ilinskiy, T. N. Galishnikova, “Singular Integral Equations in the Wave Scattering Problems”. Proc. Of URSI Commission B International Symposium on Electromagnetic Theory (EMTS 2016), 14-18 August, 2016, Espoo, Finland. Pp. 635-637 (electronic publication).
- A. S. Il’inskii and T. N. Galishnikova, “The Integral Equation Method in Problems of Diffraction by a Finite Impedance Section of a Medium Interface”, Moscow University Computational Mathematics and Cybernetics (Allerton Press), vol. 32, no. 4, pp.187-193, 2008.
- A. S. Il’inskii and T. N. Galishnikova, “Investigation of Diffraction of an Electromagnetic Wave Arbitrarily Incident on a Locally Inhomogeneous Medium Interface”, Journal of Communications Technology and Electronics, vol. 58, no. 1, pp. 40-47, 2013.
- A. S. Il’inskii and T. N. Galishnikova, “Integral Equation Method in Problems of Electromagnetic-Wave Reflection from Inhomogeneous Interfaces between Media”, Journal of Communications Technology and Electronics, vol. 61, no. 9, pp. 981-994, 2016.
No related articles were found.










