Predictive Analytics in Marketing: Evaluating its Effectiveness in Driving Customer Engagement
Volume 10, Issue 3, Page No 45–51, 2025
Adv. Sci. Technol. Eng. Syst. J. 10(3), 45–51 (2025);
DOI: 10.25046/aj100306
Keywords: Artificial Intelligence, Marketing, Machine Learning
Understanding and responding to customer feedback is critical for business success. Customer response data offers valuable insights into preferences, behaviours, and sentiment. By analysing this data, businesses can optimize strategies, enhance customer experiences, and drive growth. Many analysis have been conducted in this field, while the review covers a broad range of AI and ML applications in marketing, all of these analysis were done separately ending with scattered conclusions and recommendations. This study explores a big set of machine learning (ML) techniques to analyse customer response data from a marketing campaign in a retail superstore. The dataset was subjected to thorough pre-processing steps, including handling missing values, outlier detection and feature engineering. Exploratory data analysis (EDA) was conducted to gain awareness of customer behaviour and campaign effectiveness. Various ML models, including Decision Trees, Logistic Regression, Random Forest, K-Nearest Neighbour (KNN), as well as Support Vector Classifier (SVC), were trained and evaluated regarding the balanced dataset. Essentially, our findings propose that ML techniques can effectively analyse customer response and provide valuable information to uncover hidden patterns, make informed decisions, and gain a competitive advantage to assist with optimising marketing strategies in retail environments
1. Introduction
Artificial Intelligence (AI), defined as the simulation of human intelligence by machines, is transforming marketing through its capacity to analyze customer data and predict trends and preferences [1]. The increasing sophistication of machine capabilities, driven by improved algorithms, cost-effectiveness, and the availability of large datasets, empowers businesses to refine their marketing strategies for enhanced customer engagement [2]. Industries such as fashion are leveraging AI-powered trend analysis and predictive analytics [3] to gain a competitive edge. While the integration of AI into marketing presents significant opportunities, the analysis of unstructured data introduces complexities and potential risks [4]. Ultimately, the successful application of AI in marketing holds the promise of improving customer satisfaction and fostering business growth.
Leading companies like Amazon and Domino’s Pizza are utilizing AI to optimize delivery logistics and customer service. Similarly, Red Balloon and Macy’s are employing AI-driven platforms to enhance customer service and personalize purchasing experiences, while Lexus and Affectiva are exploring AI’s potential in designing emotionally resonant advertising campaigns [5]. Despite the growing adoption of AI in marketing practice, academic research rigorously examining its effective application remains limited. This gap in the literature motivates the present study.
This research addresses the need for empirical investigation into predictive analytics in marketing, with a specific focus on evaluating its effectiveness in driving customer engagement. Marketing, defined as the process of promoting, selling, and distributing products or services, encompasses understanding customer needs, creating value propositions, and effectively communicating these offerings to target audiences [6]. This study innovatively applies a suite of machine-learning techniques to analyze customer response data acquired from a real-world marketing campaign within a retail superstore environment. To ensure data quality, the dataset undergoes meticulous pre-processing, including robust methods for handling missing values, identifying and mitigating outliers, and feature engineering to maximize the informative value of the data.
Machine Learning (ML), a subset of AI, provides the capability for computers to learn from data and improve performance autonomously, without explicit programming [7]. This study leverages the predictive power of several ML algorithms: Decision Trees, Logistic Regression, Random Forest, K-Nearest Neighbour, and Support Vector Classifier. A key methodological contribution is the careful balancing of the dataset to overcome potential biases introduced by class imbalance, a common challenge in customer response data. The performance of the predictive models is rigorously evaluated using a comprehensive set of metrics, including accuracy, precision, and recall, providing a nuanced understanding of each model’s strengths and weaknesses.
This research seeks to answer the following key questions:
RQ 1: How effectively can machine learning techniques analyze customer response data derived from a marketing campaign within a retail superstore setting?
RQ 2: Among the machine learning models of Decision Trees, Logistic Regression, Random Forest, K-Nearest Neighbor, and Support Vector Classifier, which demonstrate optimal predictive performance for customer responses to marketing campaigns?
RQ 3: What are the implications of these findings for the optimization of marketing strategies in retail environments, specifically concerning enhancements to customer engagement and the facilitation of business growth? What theoretical contributions does this study offer to the understanding of AI’s role in marketing?
The subsequent sections of this paper detail the related literature, the research methodology employed, the interpretation of the developed models, a thorough analysis of the results, and a discussion of the theoretical and practical implications of the findings
2. Literature Review
This section provides a comprehensive literature review of recent studies focusing on the assimilation of artificial intelligence and machine learning techniques in various aspects of marketing and customer experience management. The section also discuss the findings and conclude the aim of this research.
2.1. Previous work
The literature review presents a comprehensive exploration of recent studies focusing on the assimilation of artificial intelligence and machine learning techniques in various aspects of marketing and customer experience management. These studies explore the potential of AI and ML to revolutionise customer interactions, optimise marketing strategies and support business outcomes in general.
In [8], the authors assessed the field of customer experience management (CEM) and investigated how AI and machine learning can autonomously upgrade customer experiences. They examined the challenges associated with implementing AI-driven solutions concerning CEM and proposed strategies to establish critical business drivers using AI and ML techniques. By employing these technologies, businesses can better understand customer needs and preferences, resulting in more personalised and effective customer interactions.
In [9], the authors focused on the application of AI-driven chatbots with Natural Language Processing (NLP) capabilities to improve customer experiences. They demonstrated how these chatbots can engage with customers in natural language conversations, providing timely assistance and support. By harnessing NLP and AI, businesses can automate customer service processes, reduce response times and improve overall customer satisfaction.
In [10], the authors investigated the role of AI and ML algorithms in processing large volumes of data to make informed marketing decisions. Their study highlighted how AI-powered data analysis can uncover valuable insights into customer behaviour, market trends and competitor strategies. By employing AI-driven data processing, businesses can formulate more accurate and effective marketing strategies, ultimately generating better business outcomes.
The application of AI in marketing is explored by [11], specifically focusing on understanding and analysing customer habits, preferences and behaviours. They discussed how AI-powered analytics can assist businesses to gain further information into customer segments, allowing more targeted and personalised marketing. By exploiting AI, businesses can reinforce customer relationship management roles and tailor marketing strategies to individual customer needs.
In [12], the authors examined the evolution of CRM functions via the adoption of Artificial Intelligence User Interface (AIUI). Their research illustrated how AIUI technologies can simplify customer interactions, improve response times and improve overall customer satisfaction. By integrating AIUI into CRM systems, businesses can provide more efficient and personalised customer support, promoting robust customer relationships and increased loyalty.
In [13], the authors focused on the transformation of traditional retail stores into smart retail stores via the integration of AI and IoT technologies. The authors explored how AI and IoT can enhance customer experiences by providing personalised recommendations, streamlining checkout processes and optimising inventory management. By incorporating smart retail solutions, businesses can produce more engaging and convenient shopping experiences for their customers, generating increased sales and loyalty.
In [14], the researchers investigated advanced AI applications in e-commerce, particularly focusing on AI-supported machines that are capable of tracking human emotions. Their research highlighted how these AI-driven technologies can improve consumer-brand associations and boost product recommendations in e-commerce settings. By exploiting AI to better understand and respond to customer preferences, businesses can establish more tailored and engaging online shopping experiences, ultimately generating higher conversion rates and customer satisfaction.
2.2. Discussion
The previous work, while providing valuable recommendations and finding, it lacks a critical analysis of the studies, focusing instead on a broad overview of AI and ML applications in marketing. It overlooks the challenges and limitations of these techniques, particularly in the context of customer response data analysis. Additionally, the review fails to integrate the findings of the individual studies into a cohesive whole, hindering a deeper understanding of the topic.
This research aims to investigate the practical implementation of AI and ML in enhancing customer experiences. While the potential benefits of these technologies are clear, real-world application faces significant challenges. This study seeks to address these challenges by providing actionable insights and strategies to facilitate the successful integration of AI and ML into business operations. By overcoming these hurdles, businesses can improve customer satisfaction and drive sustainable growth
3. Research Methodology
This section details the methodology employed to investigate customer response prediction. The approach encompasses data collection and preprocessing, data exploration and visualization, model development and evaluation, and subsequent analysis. Each stage is designed to ensure the development of a robust and effective customer response detection model.
3.1. Data Set
The dataset utilized in this research was obtained from Kaggle. It comprises customer attributes relevant to demographics, purchasing behaviors, and interactions within a retail superstore, collected during the previous year’s campaign. The dataset includes customer age, education level, marital status, household composition, income, and purchasing history across various product categories over the past two years. Additionally, it incorporates data on customer complaints, enrollment dates, and recent purchases. The application of this dataset and the construction of a predictive model aim to enhance the effectiveness of the superstore’s marketing campaign, specifically targeting existing customers, thereby reducing promotional costs while maximizing revenue potential.
3.2. Data Acquisition and Exploration
The research commenced with the importation of essential libraries, including Pandas, NumPy, Matplotlib, Seaborn, and datetime. The dataset, named ‘superstore_data.csv’, was loaded using Pandas, and its dimensions (number of rows and columns) were printed for initial assessment. Furthermore, the first few rows of the dataset were displayed to gain insight into its structure.
Pandas functions, such as columns, duplicated, isnull, and info, were used to scrutinize the dataset columns, duplicated rows, and null values. Observations indicated that the ‘Income’ column contained null values, and the ‘Dt_Customer’ column was of Object type instead of the Date type.
3.3. Data Preparation
Data preparation involved several steps to ensure dataset integrity and suitability for analysis. First, the ‘Dt_Customer’ column was standardized by converting its format to Date, replacing ‘/’ with ‘-‘, and applying the pd.to_datetime function. Missing values in the ‘Income’ column were imputed using the median value. Outlier detection and management were conducted on ‘Year_Birth’ and ‘Income’ by filtering out birth years before 1900 and excessively high-income values beyond a predetermined threshold. Additional outliers were identified and removed from columns associated with product purchase amounts to maintain a distribution representative of realistic consumer behavior.
3.4. Exploratory Data Analysis (EDA)
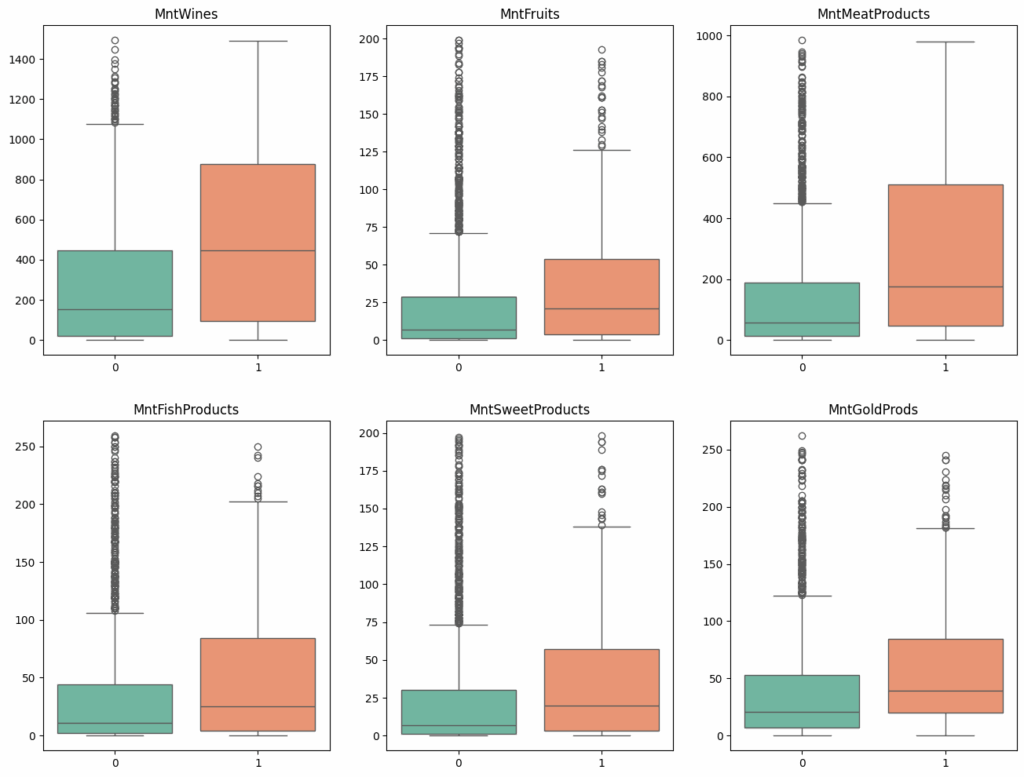
Exploratory Data Analysis (EDA) involved employing various techniques to comprehend the data’s distribution and relationships among variables. Pie charts were used to exhibit the distribution of positive and negative responses from the marketing campaign (Fig. 1). Box plots illustrated the relationships between categorical variables, such as education and marital status, and campaign response. Additionally, box plots underlined the correlations between continuous variables, such as expenditure on different products, and campaign response (Figs. 2 and 3). This analysis provided insights into customer behavior and campaign effectiveness, informing subsequent investigation and modeling.


3.5. Preprocessing and Modelling
To prepare the data for effective machine learning, several preprocessing steps were undertaken. Initially, date-type columns were converted to integer representations. This conversion streamlines both the analytical process and the computational efficiency of subsequent modeling, as machine learning algorithms typically handle numerical data more efficiently. Redundant columns, deemed irrelevant to the predictive task (e.g., ‘Id’), were removed to reduce dimensionality and potential noise in the data. This step is crucial for improving model performance by focusing on the most relevant features. Categorical variables were then transformed into a numerical format using one-hot encoding. This technique was chosen to enable machine learning algorithms to effectively process categorical information by creating binary columns for each category.
Prior to model training, the dataset underwent standardization. Standardization scales all features to have a mean of zero and a standard deviation of one. This process ensures that all features contribute equally to the model training process and prevents any single feature from unduly influencing the model due to its scale, which is crucial for algorithms sensitive to feature scaling. To mitigate class imbalance, a common issue in classification tasks, Random Oversampling was employed. This technique was selected to balance the class distribution by duplicating instances from the minority class, providing the model with more training examples for the under-represented class and potentially improving predictive accuracy, particularly for the minority class.
Finally, the preprocessed dataset was partitioned into training and testing sets. This partitioning allows for rigorous evaluation of the model’s predictive performance on unseen data, providing an unbiased estimate of its generalization ability and preventing overfitting, thus providing a realistic assessment of its performance in a real-world setting.

3.6. Model Selection and Evaluation
Classification algorithms, including Decision Tree, Logistic Regression, Random Forest, KNN, and SVC, were applied. Model hyperparameters were optimized using GridSearchCV. Model evaluation metrics, including precision, recall, and accuracy, were calculated using cross-validation and confusion matrices. The Random Forest model demonstrated the best performance in terms of precision, recall, and accuracy.
4. Results Analysis
This section clarifies the results achieved with Random Forest, Decision Trees, Support Vector Classifier, K-Nearest Neighbour and Logistic Regression machine learning models.
4.1. Random Forest
Random Forest exhibited an exceptional performance across each of the evaluation metrics. Fig. 4 shows the confusion matrix of the Random Forest ML technique that report a precision score of 0.952, it accurately identified positive instances, reducing false positives.

The perfect recall score of 1.000 signifies that it successfully described each true positive case, demonstrating its ability to comprehensively detect positive outcomes. Similarly, Random Forest achieved an impressive accuracy score of 0.975, reflecting its overall correctness in predicting both positive and negative instances. Hence, this denotes that Random Forest is a robust model, capable of accurately identifying positive cases while maintaining high accuracy levels.
4.2. Decision Tree
Decision Tree exhibited a strong performance, particularly in recall and precision. With a precision score of 0.883, it effectively identified true positive instances with a relatively low rate of false positives. Additionally, the recall score of 0.992 denotes high sensitivity to positive cases, obtaining the majority of true positives Fig. 5 shows the confusion matrix of the Random Forest ML technique. Although slightly lower than Random Forest pertaining to accuracy, Decision Tree achieved a creditable accuracy score of 0.930, revealing its capability to make correct predictions throughout the dataset. Basically, Decision Tree’s performance strengthens its effectiveness in accurately identifying positive outcomes while maintaining competitive accuracy levels.
4.3. Support Vector Classifier
Support Vector Classifier demonstrated a solid performance across the precision, recall and accuracy metrics. With a precision score of 0.891, it exhibited a high level of accuracy in identifying positive instances while minimising false positives. Fig. 6 illustrates the Support Vector Classifier Confusion Matrix. Its recall score of 0.966 signifies that SVC effectively acquired the majority of true positive cases, indicating its robustness in detecting positive outcomes.

Despite a slightly lower accuracy score compared to Random Forest and Decision Tree, SVC achieved a commendable accuracy score of 0.923, reflecting its overall correctness in predicting both positive and negative instances. This emphasises SVC as a reliable model to accurately predict positive outcomes with competitive accuracy levels.

4.4. K-Nearest Neighbour
K-Nearest Neighbour displayed a notable performance, particularly regarding recall, indicating its effectiveness in obtaining positive instances. Fig. 7 illustrates the Confusion Matrix of the k-Nearest Neighbour ML technique that reports a precision score of 0.843. It accurately identified positive cases while maintaining a reasonable false positive rate. Its high recall score of 0.992 denotes that KNN effectively recorded the majority of true positive instances, displaying its sensitivity to positive outcomes. Notwithstanding a slightly lower accuracy score compared to other models, KNN attained a respectable accuracy score of 0.904, reflecting its ability to make correct predictions throughout the dataset.
Principally, KNN’s performance confirms its efficacy in accurately identifying positive outcomes while maintaining competitive accuracy levels.
4.5. Logistic Regression:
While Logistic Regression established a slightly lower performance compared to other models, it demonstrated reasonable accuracy in predicting positive outcomes.

Fig. 8 illustrates the Confusion Matrix of the Logistic Regression ML technique that reports a precision score of 0.793, it accurately identified positive instances with a moderate rate of false positives. The recall score of 0.836 indicates that Logistic Regression effectively represented a good portion of true positive cases, demonstrating its sensitivity to positive outcomes. Despite a lower accuracy score in comparison to other models, Logistic Regression achieved a reasonable accuracy score of 0.809, revealing its overall correctness in predicting both positive and negative instances. Essentially, Logistic Regression provides a reliable approach that can be applied to predict positive outcomes, albeit with a slightly lower performance compared to other models.

Table 1: Comparative Analysis of Precision, Recall, Accuracy
| Model | Precision | Recall | Accuracy |
| Random Forest | 0.952 | 1.0 | 0.975 |
| Decision Tree | 0.883 | 0.992 | 0.93 |
| SVC | 0.891 | 0.966 | 0.923 |
| KNN | 0.843 | 0.992 | 0.904 |
| Logistic Regression | 0.793 | 0.836 | 0.809 |
Classification reports deliver a detailed breakdown of each model’s performance, permitting a comprehensive evaluation. Table 1 and Fig.9 provides a performance comparison between all the ML techniques addressed in the study.

5. Conclusion and Future Work
The evaluation of multiple machine learning models to predict customer response has yielded significant insights into the effectiveness of these techniques within marketing contexts. Notably, the Random Forest model demonstrated superior predictive capabilities, achieving a high accuracy of 97.5%, a precision of 95.2%, and a recall of 100%. This strong performance underscores Random Forest’s ability to accurately identify both positive and negative customer responses, highlighting its potential as a valuable tool for marketing professionals. Decision Tree and Support Vector Classifier (SVC) also exhibited robust predictive power, further validating the utility of machine learning in this domain, while K-Nearest Neighbors (KNN) provided reasonably accurate predictions, albeit with slightly lower performance metrics. In contrast, Logistic Regression showed the least effective performance, with an accuracy of 80.9%, a precision of 79.3%, and a recall of 83.6%.
These findings collectively emphasize the capacity of machine learning techniques to effectively analyze customer response data in marketing scenarios. The Random Forest model’s exceptional recall, in particular, suggests its strength in capturing a high proportion of positive customer responses, which is critical for targeted marketing interventions. The comparative performance analysis of the models provides valuable guidance for selecting appropriate algorithms for specific marketing objectives. Ultimately, this study reinforces the importance of leveraging advanced analytics to enhance the precision and efficacy of marketing decision-making processes and customer targeting strategies, leading to improved resource allocation and campaign ROI.
However, to further refine predictive accuracy and expand the applicability of these models, future research should prioritize several key areas. First, exploring ensemble methods, which strategically combine the predictive strengths of multiple individual models, holds promise for achieving even higher predictive performance. Second, a systematic investigation of feature engineering and selection techniques is warranted to optimize model inputs and potentially uncover more salient predictors of customer behavior. This could provide valuable insights into which customer attributes are most influential in driving campaign response. Third, integrating domain-specific knowledge and external data sources, such as social media activity, sentiment analysis, and broader demographic information, could enrich the models’ predictive capabilities and provide a more holistic understanding of customer behavior. Finally, conducting longitudinal studies to assess the temporal stability and generalizability of the developed models is essential to validate their robustness and effectiveness in dynamic real-world marketing environments. Such studies would contribute to a more comprehensive understanding of the models’ long-term utility and inform adaptive marketing strategies.
Acknowledgment
This research was supported and funded by the research sector, Arab Open University- Kuwait Branch under decision number 25128.
- Y. Kulkarni; A. Mahamuni; S. Sane; P. Kalshetti; K. Patil; R. Jarad, “Analysing How Marketing Management and Artificial Intelligence are used to Change Customer Engagement,” in 2024 International Conference on Trends in Quantum Computing and Emerging Business Technologies, 1-6, 2024, doi: 10.1109/TQCEBT59414.2024.10545064.
- N. Rane, M. Paramesha, S. Choudhary, J. Rane, “Artificial Intelligence in Sales and Marketing: Enhancing Customer Satisfaction, Experience and Loyalty,” Advances in Artificial Intelligence, 17, 2024. doi: 10.18178/JAAI.2024.2.2.245-264.
- K. Dhiwar, M. Bedarkar, “Circular Economy for Fashion Waste in the Indian Fashion Industry: Challenges and Opportunities,” Fashion Practice, 16(3), 344, 2024. doi.org/10.1080/17569370.2024.2393495.
- R. Gill, P. Kumar, M. Patel, H. Kumar, “Integrating Marketing Data Ecosystems: Merging Diverse Data Sources for Holistic Insights,” , Data Engineering for Data-driven Marketing, Emerald, 2025.
- S. Verma, R. Sharma, S. Deb, and D. Maitra, “Artificial intelligence in marketing: Systematic review and future research direction,” Information Management Data Insights, 1, 100002, 2021. doi.org/10.1080/17569370.2024.2393495.
- M. Shaffer, I. Okundaye, Marketing, Sales, and Distribution, Innovation in Nephrology, Elsevier, 2025.
- H. Sarker, “Machine Learning: Algorithms, Real-World Applications and Research Directions,” SN Computer Science, 2, 160, 2021. doi: 10.1007/s42979-021-00592-x.
- H. Gacanin, M. Wagner, “Artificial intelligence paradigm for customer experience management in next-generation networks: Challenges and perspectives,” IEEE Network, 33(2), 188–194, 2019. doi: 10.1109/MNET.2019.1800015.
- Q. Nguyen, A. Sidorova, “Understanding user interactions with a chatbot: a self-determination theory approach,” in 2018 AMCIS Proceedings, 3, 2018.
- A. Maxwell, S. Jeffrey, M. Lévesque, “Business angel early-stage decision making,” Business Venturing, 26(2), 212–225, 2011. doi.org/10.1016/j.jbusvent.2009.09.002.
- S. Chatterjee, S. Ghosh, R. Chaudhuri, B. Nguyen, “Are CRM systems ready for AI integration? A conceptual framework of organizational readiness for effective AI-CRM integration,” The Bottom Line, 32(2), 144–157, 2019. doi.org/10.1108/BL-02-2019-0069.
- R. Seranmadevi, A. Kumara, “Experiencing the AI emergence in Indian retail – Early adopters approach,” Management Science Letters, 9, 33–42, 2019. doi: 10.5267/j.msl.2018.11.002.
- W. Wisetsri, C. Aarthy, V. Thakur, D. Pandey, K. Gulati, “Systematic Analysis and Future Research Directions in Artificial Intelligence for Marketing,” Computer and Mathematics Education, 12(11), 43-55, 2021. doi: 10.17762/turcomat.v12i11.5825.
- S. Nazim, M. Rajeswari, “Creating a Brand Value and Consumer Satisfaction in E-Commerce Business Using Artificial Intelligence with the Help of Vosag Technology,” Innovative Technology and Exploring Engineering (IJITEE), 8(8), 2019.
- Mya Soe Soe Moe, Win Mar Oo, "Hybrid Feature Selection for Anomaly Detection in IoT Network Intrusion Detection Systems", Advances in Science, Technology and Engineering Systems Journal, vol. 11, no. 2, pp. 17–29, 2026. doi: 10.25046/aj110203
- Vikas Thammanna Gowda, Landis Humphrey, Aiden Kadoch, YinBo Chen, Olivia Roberts, "Multi Attribute Stratified Sampling: An Automated Framework for Privacy-Preserving Healthcare Data Publishing with Multiple Sensitive Attributes", Advances in Science, Technology and Engineering Systems Journal, vol. 11, no. 1, pp. 51–68, 2026. doi: 10.25046/aj110106
- Kohinur Parvin, Eshat Ahmad Shuvo, Wali Ashraf Khan, Sakibul Alam Adib, Tahmina Akter Eiti, Mohammad Shovon, Shoeb Akter Nafiz, "Computationally Efficient Explainable AI Framework for Skin Cancer Detection", Advances in Science, Technology and Engineering Systems Journal, vol. 11, no. 1, pp. 11–24, 2026. doi: 10.25046/aj110102
- David Degbor, Haiping Xu, Pratiksha Singh, Shannon Gibbs, Donghui Yan, "StradNet: Automated Structural Adaptation for Efficient Deep Neural Network Design", Advances in Science, Technology and Engineering Systems Journal, vol. 10, no. 6, pp. 29–41, 2025. doi: 10.25046/aj100603
- Glender Brás, Samara Leal, Breno Sousa, Gabriel Paes, Cleberson Junior, João Souza, Rafael Assis, Tamires Marques, Thiago Teles Calazans Silva, "Machine Learning Methods for University Student Performance Prediction in Basic Skills based on Psychometric Profile", Advances in Science, Technology and Engineering Systems Journal, vol. 10, no. 4, pp. 1–13, 2025. doi: 10.25046/aj100401
- Khalifa Sylla, Birahim Babou, Mama Amar, Samuel Ouya, "Impact of Integrating Chatbots into Digital Universities Platforms on the Interactions between the Learner and the Educational Content", Advances in Science, Technology and Engineering Systems Journal, vol. 10, no. 1, pp. 13–19, 2025. doi: 10.25046/aj100103
- Ahmet Emin Ünal, Halit Boyar, Burcu Kuleli Pak, Vehbi Çağrı Güngör, "Utilizing 3D models for the Prediction of Work Man-Hour in Complex Industrial Products using Machine Learning", Advances in Science, Technology and Engineering Systems Journal, vol. 9, no. 6, pp. 01–11, 2024. doi: 10.25046/aj090601
- Haruki Murakami, Takuma Miwa, Kosuke Shima, Takanobu Otsuka, "Proposal and Implementation of Seawater Temperature Prediction Model using Transfer Learning Considering Water Depth Differences", Advances in Science, Technology and Engineering Systems Journal, vol. 9, no. 4, pp. 01–06, 2024. doi: 10.25046/aj090401
- Brandon Wetzel, Haiping Xu, "Deploying Trusted and Immutable Predictive Models on a Public Blockchain Network", Advances in Science, Technology and Engineering Systems Journal, vol. 9, no. 3, pp. 72–83, 2024. doi: 10.25046/aj090307
- Anirudh Mazumder, Kapil Panda, "Leveraging Machine Learning for a Comprehensive Assessment of PFAS Nephrotoxicity", Advances in Science, Technology and Engineering Systems Journal, vol. 9, no. 3, pp. 62–71, 2024. doi: 10.25046/aj090306
- Taichi Ito, Ken’ichi Minamino, Shintaro Umeki, "Visualization of the Effect of Additional Fertilization on Paddy Rice by Time-Series Analysis of Vegetation Indices using UAV and Minimizing the Number of Monitoring Days for its Workload Reduction", Advances in Science, Technology and Engineering Systems Journal, vol. 9, no. 3, pp. 29–40, 2024. doi: 10.25046/aj090303
- Henry Toal, Michelle Wilber, Getu Hailu, Arghya Kusum Das, "Evaluation of Various Deep Learning Models for Short-Term Solar Forecasting in the Arctic using a Distributed Sensor Network", Advances in Science, Technology and Engineering Systems Journal, vol. 9, no. 3, pp. 12–28, 2024. doi: 10.25046/aj090302
- Tinofirei Museba, Koenraad Vanhoof, "An Adaptive Heterogeneous Ensemble Learning Model for Credit Card Fraud Detection", Advances in Science, Technology and Engineering Systems Journal, vol. 9, no. 3, pp. 01–11, 2024. doi: 10.25046/aj090301
- Marco I. Bonelli, Jiahao Liu, "Revolutionizing Robo-Advisors: Unveiling Global Financial Markets, AI-Driven Innovations, and Technological Landscapes for Enhanced Investment Decisions", Advances in Science, Technology and Engineering Systems Journal, vol. 9, no. 2, pp. 33–44, 2024. doi: 10.25046/aj090205
- Toya Acharya, Annamalai Annamalai, Mohamed F Chouikha, "Optimizing the Performance of Network Anomaly Detection Using Bidirectional Long Short-Term Memory (Bi-LSTM) and Over-sampling for Imbalance Network Traffic Data", Advances in Science, Technology and Engineering Systems Journal, vol. 8, no. 6, pp. 144–154, 2023. doi: 10.25046/aj080614
- Renhe Chi, "Comparative Study of J48 Decision Tree and CART Algorithm for Liver Cancer Symptom Analysis Using Data from Carnegie Mellon University", Advances in Science, Technology and Engineering Systems Journal, vol. 8, no. 6, pp. 57–64, 2023. doi: 10.25046/aj080607
- Ng Kah Kit, Hafeez Ullah Amin, Kher Hui Ng, Jessica Price, Ahmad Rauf Subhani, "EEG Feature Extraction based on Fast Fourier Transform and Wavelet Analysis for Classification of Mental Stress Levels using Machine Learning", Advances in Science, Technology and Engineering Systems Journal, vol. 8, no. 6, pp. 46–56, 2023. doi: 10.25046/aj080606
- Nizar Sakli, Chokri Baccouch, Hedia Bellali, Ahmed Zouinkhi, Mustapha Najjari, "IoT System and Deep Learning Model to Predict Cardiovascular Disease Based on ECG Signal", Advances in Science, Technology and Engineering Systems Journal, vol. 8, no. 6, pp. 08–18, 2023. doi: 10.25046/aj080602
- Kitipoth Wasayangkool, Kanabadee Srisomboon, Chatree Mahatthanajatuphat, Wilaiporn Lee, "Accuracy Improvement-Based Wireless Sensor Estimation Technique with Machine Learning Algorithms for Volume Estimation on the Sealed Box", Advances in Science, Technology and Engineering Systems Journal, vol. 8, no. 3, pp. 108–117, 2023. doi: 10.25046/aj080313
- Chaiyaporn Khemapatapan, Thammanoon Thepsena, "Forecasting the Weather behind Pa Sak Jolasid Dam using Quantum Machine Learning", Advances in Science, Technology and Engineering Systems Journal, vol. 8, no. 3, pp. 54–62, 2023. doi: 10.25046/aj080307
- Der-Jiun Pang, "Hybrid Machine Learning Model Performance in IT Project Cost and Duration Prediction", Advances in Science, Technology and Engineering Systems Journal, vol. 8, no. 2, pp. 108–115, 2023. doi: 10.25046/aj080212
- Paulo Gustavo Quinan, Issa Traoré, Isaac Woungang, Ujwal Reddy Gondhi, Chenyang Nie, "Hybrid Intrusion Detection Using the AEN Graph Model", Advances in Science, Technology and Engineering Systems Journal, vol. 8, no. 2, pp. 44–63, 2023. doi: 10.25046/aj080206
- Ossama Embarak, "Multi-Layered Machine Learning Model For Mining Learners Academic Performance", Advances in Science, Technology and Engineering Systems Journal, vol. 6, no. 1, pp. 850–861, 2021. doi: 10.25046/aj060194
- Roy D Gregori Ayon, Md. Sanaullah Rabbi, Umme Habiba, Maoyejatun Hasana, "Bangla Speech Emotion Detection using Machine Learning Ensemble Methods", Advances in Science, Technology and Engineering Systems Journal, vol. 7, no. 6, pp. 70–76, 2022. doi: 10.25046/aj070608
- Deeptaanshu Kumar, Ajmal Thanikkal, Prithvi Krishnamurthy, Xinlei Chen, Pei Zhang, "Analysis of Different Supervised Machine Learning Methods for Accelerometer-Based Alcohol Consumption Detection from Physical Activity", Advances in Science, Technology and Engineering Systems Journal, vol. 7, no. 4, pp. 147–154, 2022. doi: 10.25046/aj070419
- Zhumakhan Nazir, Temirlan Zarymkanov, Jurn-Guy Park, "A Machine Learning Model Selection Considering Tradeoffs between Accuracy and Interpretability", Advances in Science, Technology and Engineering Systems Journal, vol. 7, no. 4, pp. 72–78, 2022. doi: 10.25046/aj070410
- Ayoub Benchabana, Mohamed-Khireddine Kholladi, Ramla Bensaci, Belal Khaldi, "A Supervised Building Detection Based on Shadow using Segmentation and Texture in High-Resolution Images", Advances in Science, Technology and Engineering Systems Journal, vol. 7, no. 3, pp. 166–173, 2022. doi: 10.25046/aj070319
- Toshiki Watanabe, Hiroyuki Kameda, "Designing a Model of Consciousness Based on the Findings of Jungian Psychology", Advances in Science, Technology and Engineering Systems Journal, vol. 6, no. 5, pp. 356–361, 2021. doi: 10.25046/aj060540
- Caglar Arslan, Selen Sipahio?lu, Emre ?afak, Mesut Gözütok, Tacettin Köprülü, "Comparative Analysis and Modern Applications of PoW, PoS, PPoS Blockchain Consensus Mechanisms and New Distributed Ledger Technologies", Advances in Science, Technology and Engineering Systems Journal, vol. 6, no. 5, pp. 279–290, 2021. doi: 10.25046/aj060531
- Osaretin Eboya, Julia Binti Juremi, "iDRP Framework: An Intelligent Malware Exploration Framework for Big Data and Internet of Things (IoT) Ecosystem", Advances in Science, Technology and Engineering Systems Journal, vol. 6, no. 5, pp. 185–202, 2021. doi: 10.25046/aj060521
- Arwa Alghamdi, Graham Healy, Hoda Abdelhafez, "Machine Learning Algorithms for Real Time Blind Audio Source Separation with Natural Language Detection", Advances in Science, Technology and Engineering Systems Journal, vol. 6, no. 5, pp. 125–140, 2021. doi: 10.25046/aj060515
- Baida Ouafae, Louzar Oumaima, Ramdi Mariam, Lyhyaoui Abdelouahid, "Survey on Novelty Detection using Machine Learning Techniques", Advances in Science, Technology and Engineering Systems Journal, vol. 6, no. 5, pp. 73–82, 2021. doi: 10.25046/aj060510
- Nuobei Shi, Qin Zeng, Raymond Shu Tak Lee, "The Design and Implementation of Intelligent English Learning Chabot based on Transfer Learning Technology", Advances in Science, Technology and Engineering Systems Journal, vol. 6, no. 5, pp. 32–42, 2021. doi: 10.25046/aj060505
- Radwan Qasrawi, Stephanny VicunaPolo, Diala Abu Al-Halawa, Sameh Hallaq, Ziad Abdeen, "Predicting School Children Academic Performance Using Machine Learning Techniques", Advances in Science, Technology and Engineering Systems Journal, vol. 6, no. 5, pp. 08–15, 2021. doi: 10.25046/aj060502
- Zhiyuan Chen, Howe Seng Goh, Kai Ling Sin, Kelly Lim, Nicole Ka Hei Chung, Xin Yu Liew, "Automated Agriculture Commodity Price Prediction System with Machine Learning Techniques", Advances in Science, Technology and Engineering Systems Journal, vol. 6, no. 4, pp. 376–384, 2021. doi: 10.25046/aj060442
- Hathairat Ketmaneechairat, Maleerat Maliyaem, Chalermpong Intarat, "Kamphaeng Saen Beef Cattle Identification Approach using Muzzle Print Image", Advances in Science, Technology and Engineering Systems Journal, vol. 6, no. 4, pp. 110–122, 2021. doi: 10.25046/aj060413
- Md Mahmudul Hasan, Nafiul Hasan, Dil Afroz, Ferdaus Anam Jibon, Md. Arman Hossen, Md. Shahrier Parvage, Jakaria Sulaiman Aongkon, "Electroencephalogram Based Medical Biometrics using Machine Learning: Assessment of Different Color Stimuli", Advances in Science, Technology and Engineering Systems Journal, vol. 6, no. 3, pp. 27–34, 2021. doi: 10.25046/aj060304
- Dominik Štursa, Daniel Honc, Petr Doležel, "Efficient 2D Detection and Positioning of Complex Objects for Robotic Manipulation Using Fully Convolutional Neural Network", Advances in Science, Technology and Engineering Systems Journal, vol. 6, no. 2, pp. 915–920, 2021. doi: 10.25046/aj0602104
- Md Mahmudul Hasan, Nafiul Hasan, Mohammed Saud A Alsubaie, "Development of an EEG Controlled Wheelchair Using Color Stimuli: A Machine Learning Based Approach", Advances in Science, Technology and Engineering Systems Journal, vol. 6, no. 2, pp. 754–762, 2021. doi: 10.25046/aj060287
- Antoni Wibowo, Inten Yasmina, Antoni Wibowo, "Food Price Prediction Using Time Series Linear Ridge Regression with The Best Damping Factor", Advances in Science, Technology and Engineering Systems Journal, vol. 6, no. 2, pp. 694–698, 2021. doi: 10.25046/aj060280
- Javier E. Sánchez-Galán, Fatima Rangel Barranco, Jorge Serrano Reyes, Evelyn I. Quirós-McIntire, José Ulises Jiménez, José R. Fábrega, "Using Supervised Classification Methods for the Analysis of Multi-spectral Signatures of Rice Varieties in Panama", Advances in Science, Technology and Engineering Systems Journal, vol. 6, no. 2, pp. 552–558, 2021. doi: 10.25046/aj060262
- Phillip Blunt, Bertram Haskins, "A Model for the Application of Automatic Speech Recognition for Generating Lesson Summaries", Advances in Science, Technology and Engineering Systems Journal, vol. 6, no. 2, pp. 526–540, 2021. doi: 10.25046/aj060260
- Jason Valera, Sebastian Herrera, "Design Approach of an Electric Single-Seat Vehicle with ABS and TCS for Autonomous Driving Based on Q-Learning Algorithm", Advances in Science, Technology and Engineering Systems Journal, vol. 6, no. 2, pp. 464–471, 2021. doi: 10.25046/aj060253
- Sebastianus Bara Primananda, Sani Muhamad Isa, "Forecasting Gold Price in Rupiah using Multivariate Analysis with LSTM and GRU Neural Networks", Advances in Science, Technology and Engineering Systems Journal, vol. 6, no. 2, pp. 245–253, 2021. doi: 10.25046/aj060227
- Hyeongjoo Kim, Sunyong Byun, "Designing and Applying a Moral Turing Test", Advances in Science, Technology and Engineering Systems Journal, vol. 6, no. 2, pp. 93–98, 2021. doi: 10.25046/aj060212
- Helen Leligou, Despina Anastasopoulos, Anita Montagna, Vassilis Solachidis, Nicholas Vretos, "Combining ICT Technologies To Serve Societal Challenges", Advances in Science, Technology and Engineering Systems Journal, vol. 6, no. 1, pp. 1319–1327, 2021. doi: 10.25046/aj0601151
- Byeongwoo Kim, Jongkyu Lee, "Fault Diagnosis and Noise Robustness Comparison of Rotating Machinery using CWT and CNN", Advances in Science, Technology and Engineering Systems Journal, vol. 6, no. 1, pp. 1279–1285, 2021. doi: 10.25046/aj0601146
- Md Mahmudul Hasan, Nafiul Hasan, Mohammed Saud A Alsubaie, Md Mostafizur Rahman Komol, "Diagnosis of Tobacco Addiction using Medical Signal: An EEG-based Time-Frequency Domain Analysis Using Machine Learning", Advances in Science, Technology and Engineering Systems Journal, vol. 6, no. 1, pp. 842–849, 2021. doi: 10.25046/aj060193
- Reem Bayari, Ameur Bensefia, "Text Mining Techniques for Cyberbullying Detection: State of the Art", Advances in Science, Technology and Engineering Systems Journal, vol. 6, no. 1, pp. 783–790, 2021. doi: 10.25046/aj060187
- Anass Barodi, Abderrahim Bajit, Taoufiq El Harrouti, Ahmed Tamtaoui, Mohammed Benbrahim, "An Enhanced Artificial Intelligence-Based Approach Applied to Vehicular Traffic Signs Detection and Road Safety Enhancement", Advances in Science, Technology and Engineering Systems Journal, vol. 6, no. 1, pp. 672–683, 2021. doi: 10.25046/aj060173
- Inna Valieva, Iurii Voitenko, Mats Björkman, Johan Åkerberg, Mikael Ekström, "Multiple Machine Learning Algorithms Comparison for Modulation Type Classification Based on Instantaneous Values of the Time Domain Signal and Time Series Statistics Derived from Wavelet Transform", Advances in Science, Technology and Engineering Systems Journal, vol. 6, no. 1, pp. 658–671, 2021. doi: 10.25046/aj060172
- Carlos López-Bermeo, Mauricio González-Palacio, Lina Sepúlveda-Cano, Rubén Montoya-Ramírez, César Hidalgo-Montoya, "Comparison of Machine Learning Parametric and Non-Parametric Techniques for Determining Soil Moisture: Case Study at Las Palmas Andean Basin", Advances in Science, Technology and Engineering Systems Journal, vol. 6, no. 1, pp. 636–650, 2021. doi: 10.25046/aj060170
- Ndiatenda Ndou, Ritesh Ajoodha, Ashwini Jadhav, "A Case Study to Enhance Student Support Initiatives Through Forecasting Student Success in Higher-Education", Advances in Science, Technology and Engineering Systems Journal, vol. 6, no. 1, pp. 230–241, 2021. doi: 10.25046/aj060126
- Lonia Masangu, Ashwini Jadhav, Ritesh Ajoodha, "Predicting Student Academic Performance Using Data Mining Techniques", Advances in Science, Technology and Engineering Systems Journal, vol. 6, no. 1, pp. 153–163, 2021. doi: 10.25046/aj060117
- Nop Kongdee, Suparada Prapawong, Manissaward Jintapitak, "The Designing of Institute’s Educational Mascots for Brand Identity", Advances in Science, Technology and Engineering Systems Journal, vol. 5, no. 6, pp. 1759–1777, 2020. doi: 10.25046/aj0506210
- El hadji Mbaye Ndiaye, Mactar Faye, Alphousseyni Ndiaye, "Comparative Study Between Three Methods for Optimizing the Power Produced from Photovoltaic Generator", Advances in Science, Technology and Engineering Systems Journal, vol. 5, no. 6, pp. 1458–1465, 2020. doi: 10.25046/aj0506175
- Sara Ftaimi, Tomader Mazri, "Handling Priority Data in Smart Transportation System by using Support Vector Machine Algorithm", Advances in Science, Technology and Engineering Systems Journal, vol. 5, no. 6, pp. 1422–1427, 2020. doi: 10.25046/aj0506172
- Othmane Rahmaoui, Kamal Souali, Mohammed Ouzzif, "Towards a Documents Processing Tool using Traceability Information Retrieval and Content Recognition Through Machine Learning in a Big Data Context", Advances in Science, Technology and Engineering Systems Journal, vol. 5, no. 6, pp. 1267–1277, 2020. doi: 10.25046/aj0506151
- Azani Cempaka Sari, Natashia Virnilia, Jasmine Tanti Susanto, Kent Anderson Phiedono, Thea Kevin Hartono, "Chatbot Developments in The Business World", Advances in Science, Technology and Engineering Systems Journal, vol. 5, no. 6, pp. 627–635, 2020. doi: 10.25046/aj050676
- Alexander Raikov, "Accelerating Decision-Making in Transport Emergency with Artificial Intelligence", Advances in Science, Technology and Engineering Systems Journal, vol. 5, no. 6, pp. 520–530, 2020. doi: 10.25046/aj050662
- Puttakul Sakul-Ung, Amornvit Vatcharaphrueksadee, Pitiporn Ruchanawet, Kanin Kearpimy, Hathairat Ketmaneechairat, Maleerat Maliyaem, "Overmind: A Collaborative Decentralized Machine Learning Framework", Advances in Science, Technology and Engineering Systems Journal, vol. 5, no. 6, pp. 280–289, 2020. doi: 10.25046/aj050634
- Meriyem Chergui, Aziza Chakir, "IT GRC Smart Adviser: Process Driven Architecture Applying an Integrated Framework", Advances in Science, Technology and Engineering Systems Journal, vol. 5, no. 6, pp. 247–255, 2020. doi: 10.25046/aj050629
- Pamela Zontone, Antonio Affanni, Riccardo Bernardini, Leonida Del Linz, Alessandro Piras, Roberto Rinaldo, "Supervised Learning Techniques for Stress Detection in Car Drivers", Advances in Science, Technology and Engineering Systems Journal, vol. 5, no. 6, pp. 22–29, 2020. doi: 10.25046/aj050603
- Kodai Kitagawa, Koji Matsumoto, Kensuke Iwanaga, Siti Anom Ahmad, Takayuki Nagasaki, Sota Nakano, Mitsumasa Hida, Shogo Okamatsu, Chikamune Wada, "Posture Recognition Method for Caregivers during Postural Change of a Patient on a Bed using Wearable Sensors", Advances in Science, Technology and Engineering Systems Journal, vol. 5, no. 5, pp. 1093–1098, 2020. doi: 10.25046/aj0505133
- Zahra Jafari, Saman Rajebi, Siyamak Haghipour, "Using the Neural Network to Diagnose the Severity of Heart Disease in Patients Using General Specifications and ECG Signals Received from the Patients", Advances in Science, Technology and Engineering Systems Journal, vol. 5, no. 5, pp. 882–892, 2020. doi: 10.25046/aj0505108
- Khalid A. AlAfandy, Hicham Omara, Mohamed Lazaar, Mohammed Al Achhab, "Using Classic Networks for Classifying Remote Sensing Images: Comparative Study", Advances in Science, Technology and Engineering Systems Journal, vol. 5, no. 5, pp. 770–780, 2020. doi: 10.25046/aj050594
- Khalid A. AlAfandy, Hicham, Mohamed Lazaar, Mohammed Al Achhab, "Investment of Classic Deep CNNs and SVM for Classifying Remote Sensing Images", Advances in Science, Technology and Engineering Systems Journal, vol. 5, no. 5, pp. 652–659, 2020. doi: 10.25046/aj050580
- Rajesh Kumar, Geetha S, "Malware Classification Using XGboost-Gradient Boosted Decision Tree", Advances in Science, Technology and Engineering Systems Journal, vol. 5, no. 5, pp. 536–549, 2020. doi: 10.25046/aj050566
- Nghia Duong-Trung, Nga Quynh Thi Tang, Xuan Son Ha, "Interpretation of Machine Learning Models for Medical Diagnosis", Advances in Science, Technology and Engineering Systems Journal, vol. 5, no. 5, pp. 469–477, 2020. doi: 10.25046/aj050558
- Mehdi Zhar, Omar Bouattane, Lhoussain Bahatti, "New Algorithm for the Development of a Musical Words Descriptor for the Artificial Composition of Oriental Music", Advances in Science, Technology and Engineering Systems Journal, vol. 5, no. 5, pp. 434–443, 2020. doi: 10.25046/aj050554
- Oumaima Terrada, Soufiane Hamida, Bouchaib Cherradi, Abdelhadi Raihani, Omar Bouattane, "Supervised Machine Learning Based Medical Diagnosis Support System for Prediction of Patients with Heart Disease", Advances in Science, Technology and Engineering Systems Journal, vol. 5, no. 5, pp. 269–277, 2020. doi: 10.25046/aj050533
- Haytham Azmi, "FPGA Acceleration of Tree-based Learning Algorithms", Advances in Science, Technology and Engineering Systems Journal, vol. 5, no. 5, pp. 237–244, 2020. doi: 10.25046/aj050529
- Hicham Moujahid, Bouchaib Cherradi, Oussama El Gannour, Lhoussain Bahatti, Oumaima Terrada, Soufiane Hamida, "Convolutional Neural Network Based Classification of Patients with Pneumonia using X-ray Lung Images", Advances in Science, Technology and Engineering Systems Journal, vol. 5, no. 5, pp. 167–175, 2020. doi: 10.25046/aj050522
- Young-Jin Park, Hui-Sup Cho, "A Method for Detecting Human Presence and Movement Using Impulse Radar", Advances in Science, Technology and Engineering Systems Journal, vol. 5, no. 4, pp. 770–775, 2020. doi: 10.25046/aj050491
- Anouar Bachar, Noureddine El Makhfi, Omar EL Bannay, "Machine Learning for Network Intrusion Detection Based on SVM Binary Classification Model", Advances in Science, Technology and Engineering Systems Journal, vol. 5, no. 4, pp. 638–644, 2020. doi: 10.25046/aj050476
- Adonis Santos, Patricia Angela Abu, Carlos Oppus, Rosula Reyes, "Real-Time Traffic Sign Detection and Recognition System for Assistive Driving", Advances in Science, Technology and Engineering Systems Journal, vol. 5, no. 4, pp. 600–611, 2020. doi: 10.25046/aj050471
- Amar Choudhary, Deependra Pandey, Saurabh Bhardwaj, "Overview of Solar Radiation Estimation Techniques with Development of Solar Radiation Model Using Artificial Neural Network", Advances in Science, Technology and Engineering Systems Journal, vol. 5, no. 4, pp. 589–593, 2020. doi: 10.25046/aj050469
- Maroua Abdellaoui, Dounia Daghouj, Mohammed Fattah, Younes Balboul, Said Mazer, Moulhime El Bekkali, "Artificial Intelligence Approach for Target Classification: A State of the Art", Advances in Science, Technology and Engineering Systems Journal, vol. 5, no. 4, pp. 445–456, 2020. doi: 10.25046/aj050453
- Hani AlGhanem, Mohammad Shanaa, Said Salloum, Khaled Shaalan, "The Role of KM in Enhancing AI Algorithms and Systems", Advances in Science, Technology and Engineering Systems Journal, vol. 5, no. 4, pp. 388–396, 2020. doi: 10.25046/aj050445
- Shahab Pasha, Jan Lundgren, Christian Ritz, Yuexian Zou, "Distributed Microphone Arrays, Emerging Speech and Audio Signal Processing Platforms: A Review", Advances in Science, Technology and Engineering Systems Journal, vol. 5, no. 4, pp. 331–343, 2020. doi: 10.25046/aj050439
- Ilias Kalathas, Michail Papoutsidakis, Chistos Drosos, "Optimization of the Procedures for Checking the Functionality of the Greek Railways: Data Mining and Machine Learning Approach to Predict Passenger Train Immobilization", Advances in Science, Technology and Engineering Systems Journal, vol. 5, no. 4, pp. 287–295, 2020. doi: 10.25046/aj050435
- Yosaphat Catur Widiyono, Sani Muhamad Isa, "Utilization of Data Mining to Predict Non-Performing Loan", Advances in Science, Technology and Engineering Systems Journal, vol. 5, no. 4, pp. 252–256, 2020. doi: 10.25046/aj050431
- Hai Thanh Nguyen, Nhi Yen Kim Phan, Huong Hoang Luong, Trung Phuoc Le, Nghi Cong Tran, "Efficient Discretization Approaches for Machine Learning Techniques to Improve Disease Classification on Gut Microbiome Composition Data", Advances in Science, Technology and Engineering Systems Journal, vol. 5, no. 3, pp. 547–556, 2020. doi: 10.25046/aj050368
- Ruba Obiedat, "Risk Management: The Case of Intrusion Detection using Data Mining Techniques", Advances in Science, Technology and Engineering Systems Journal, vol. 5, no. 3, pp. 529–535, 2020. doi: 10.25046/aj050365
- Krina B. Gabani, Mayuri A. Mehta, Stephanie Noronha, "Racial Categorization Methods: A Survey", Advances in Science, Technology and Engineering Systems Journal, vol. 5, no. 3, pp. 388–401, 2020. doi: 10.25046/aj050350
- Efrain Mendez, German Baltazar-Reyes, Israel Macias, Adriana Vargas-Martinez, Jorge de Jesus Lozoya-Santos, Ricardo Ramirez-Mendoza, Ruben Morales-Menendez and Arturo Molina, "ANN Based MRAC-PID Controller Implementation for a Furuta Pendulum System Stabilization", Advances in Science, Technology and Engineering Systems Journal, vol. 5, no. 3, pp. 324–333, 2020. doi: 10.25046/aj050342
- Dennis Luqman, Sani Muhamad Isa, "Machine Learning Model to Identify the Optimum Database Query Execution Platform on GPU Assisted Database", Advances in Science, Technology and Engineering Systems Journal, vol. 5, no. 3, pp. 214–225, 2020. doi: 10.25046/aj050328
- Neptali Montañez, Jomari Joseph Barrera, "Automated Abaca Fiber Grade Classification Using Convolution Neural Network (CNN)", Advances in Science, Technology and Engineering Systems Journal, vol. 5, no. 3, pp. 207–213, 2020. doi: 10.25046/aj050327
- Gillala Rekha, Shaveta Malik, Amit Kumar Tyagi, Meghna Manoj Nair, "Intrusion Detection in Cyber Security: Role of Machine Learning and Data Mining in Cyber Security", Advances in Science, Technology and Engineering Systems Journal, vol. 5, no. 3, pp. 72–81, 2020. doi: 10.25046/aj050310
- Rabeb Faleh, Souhir Bedoui, Abdennaceur Kachouri, "Review on Smart Electronic Nose Coupled with Artificial Intelligence for Air Quality Monitoring", Advances in Science, Technology and Engineering Systems Journal, vol. 5, no. 2, pp. 739–747, 2020. doi: 10.25046/aj050292
- Ahmed EL Orche, Mohamed Bahaj, "Approach to Combine an Ontology-Based on Payment System with Neural Network for Transaction Fraud Detection", Advances in Science, Technology and Engineering Systems Journal, vol. 5, no. 2, pp. 551–560, 2020. doi: 10.25046/aj050269
- Bokyoon Na, Geoffrey C Fox, "Object Classifications by Image Super-Resolution Preprocessing for Convolutional Neural Networks", Advances in Science, Technology and Engineering Systems Journal, vol. 5, no. 2, pp. 476–483, 2020. doi: 10.25046/aj050261
- Gredion Prajena, Jeklin Harefa, Andry Chowanda, Alexander, Maskat, Kamal Rahman, Muhammad Naufal Fadhil, "The Adventure of BipBop: An Android App Pathfinding Adventure Game", Advances in Science, Technology and Engineering Systems Journal, vol. 5, no. 2, pp. 299–304, 2020. doi: 10.25046/aj050239
- Johannes Linden, Xutao Wang, Stefan Forsstrom, Tingting Zhang, "Productify News Article Classification Model with Sagemaker", Advances in Science, Technology and Engineering Systems Journal, vol. 5, no. 2, pp. 13–18, 2020. doi: 10.25046/aj050202
- Michael Wenceslaus Putong, Suharjito, "Classification Model of Contact Center Customers Emails Using Machine Learning", Advances in Science, Technology and Engineering Systems Journal, vol. 5, no. 1, pp. 174–182, 2020. doi: 10.25046/aj050123
- Manuel Escourido Calvo, Antonio Javier Prado Domínguez, Valentín Alejandro Martínez Fernández, "Internalising Negative Self-Image Externalities: The First Objective for City Marketing as a Municipal Management Tool", Advances in Science, Technology and Engineering Systems Journal, vol. 5, no. 1, pp. 112–118, 2020. doi: 10.25046/aj050115
- Rehan Ullah Khan, Ali Mustafa Qamar, Mohammed Hadwan, "Quranic Reciter Recognition: A Machine Learning Approach", Advances in Science, Technology and Engineering Systems Journal, vol. 4, no. 6, pp. 173–176, 2019. doi: 10.25046/aj040621
- Mehdi Guessous, Lahbib Zenkouar, "An ML-optimized dRRM Solution for IEEE 802.11 Enterprise Wlan Networks", Advances in Science, Technology and Engineering Systems Journal, vol. 4, no. 6, pp. 19–31, 2019. doi: 10.25046/aj040603
- Toshiyasu Kato, Yuki Terawaki, Yasushi Kodama, Teruhiko Unoki, Yasushi Kambayashi, "Estimating Academic results from Trainees’ Activities in Programming Exercises Using Four Types of Machine Learning", Advances in Science, Technology and Engineering Systems Journal, vol. 4, no. 5, pp. 321–326, 2019. doi: 10.25046/aj040541
- Nindhia Hutagaol, Suharjito, "Predictive Modelling of Student Dropout Using Ensemble Classifier Method in Higher Education", Advances in Science, Technology and Engineering Systems Journal, vol. 4, no. 4, pp. 206–211, 2019. doi: 10.25046/aj040425